期望投资收益率公式(中级财管投资收益率公式)
期望投资收益率公式(中级财管投资收益率公式)
期望投资收益率公式为:预期收益率×期限利差。这里的预期收益率是基于一个固定的假设,即投资者的风险偏好。如果投资者认为未来一段时间内,市场利率有可能上升,那么他们就会倾向于持有短期债券,而不是长期债券。反之亦然。因此,在一个稳定的市场环境中,预期收益率越高,就越有能持有债券。换句话说,如果你想获得更高的收益,你必须承担更高的风险。
1、期望收益率、方差、协方差、相关系数的计算公式?
期望收益率计算公式:
HPR=(期末价格 -期初价格+现金股息)/期初价格
例:A股票过去三年的收益率为3%、5%、4%,B股票在下一年有30%的概率收益率为10%,40%的概率收益率为5%,另30%的概率收益率为8%。计算A、B两只股票下一年的预期收益率。
解:
A股票的预期收益率 =(3%+5%+4%)/3 = 4%
B股票的预期收益率 =10%×30%+5%×40%+8%×30% = 7.4%
方差计算公式:

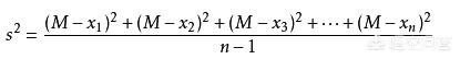
例:求43,45,44,42,41,43的方差。
解:平均数=(43+45+44+42+41+43)/6=43
S^2=【(43-43)^2+(45-43)^2+(44-43)^2+(42-43)^2+(41-43)^2+(43-43)^2】/6
=(0+4+1+1+4+0)/6
=10/6
协方差计算公式:
例:Xi 1.1 1.9 3,Yi 5.0 10.4 14.6
解:E(X) = (1.1+1.9+3)/3=2
E(Y) = (5.0+10.4+14.6)/3=10
E(XY)=(1.1×5.0+1.9×10.4+3×14.6)/3=23.02
Cov(X,Y)=E(XY)-E(X)E(Y)=23.02-2×10=3.02
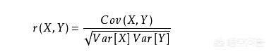
4、相关系数计算公式

解:由上面的解题可求X、Y的相关系数为
r(X,Y)=Cov(X,Y)/(σxσy)=3.02/(0.77×3.93) = 0.9979
2、期望报酬率和必要收益的通俗讲解率?
优质回答1:
必要报酬率(Required Return):是指准确反映期望未来现金流量风险的报酬。我们也可以将其称为人们愿意进行投资(购买资产)所必需赚得的最低报酬率。
估计这一报酬率的一个重要 *** 是建立在机会成本的概念上:必要报酬率是同等风险的其他备选方案的报酬率,如同等风险的金融证券。
风险是指人们事先能够肯定采取某种行为所有可能的后果,以及每种后果出现可能性的状况。
风险报酬是指投资者因承担风险而获得的超过时间价值的那部分额外报酬。
风险报酬率是投资者因承担风险而获得的超过时间价值的那部分额外报酬率,即风险报酬额与原投资额的比率。
风险报酬率是投资项目报酬率的一个重要组成部分,如果不考虑通货膨胀因素,投资报酬率就是时间价值率与风险报酬率之和。 期望报酬率(Expected rate of return);是指各种可能的报酬率按概率加权计算的平均报酬率,又称为预期值或均值。它表示在一定的风险条件下,期望得到的平均报酬率。
优质回答2:
期望报酬率也就是内含报酬率,是预计可以获得的收益率,也就是使得价格=未来现金流量现值的报酬率,如果一直持有至到期日,其等于到期收益率;
必要报酬率,是投资者要求的最低报酬率,是指准确反映预期未来现金流量风险的报酬率,是等风险投资的机会成本;必要报酬率计算的未来现金流量现值是价值,期望报酬率也就是内含报酬率计算的未来现金流量现值是价格。必要报酬率是投资人要求的最低报酬率,期望报酬率是投资人期望获得的报酬率;如果期望报酬率低于必要报酬率,投资人不会选择投资。
3、期望报酬率和期望收益率的区别?
总期望报酬率=Q×(风险组合的期望报酬率)+(1-Q)×(无风险利率)
这里是指一揽子投资的情况下,既有风险组合,又有无风险投资。
则:总期望报酬率按各投资所占总投资组合的比例对各项投资报酬率进行加权平均计算。
如:股票投资报酬率50%,占总投资的30%;债券投资报酬率10%,占总投资的1-30%=70%
总期望报酬率=30%*50%+(1-30%)*10%
2、投资者要求的收益率Ki=Rf+β(Km-Rf)
这里主要强调投资者进行风险投资时,对风险溢价要求额外报酬。
Rf是无风险投资的收益率,Km-Rf是风险溢价,β(Km-Rf) 是对风险溢价要求的额外报酬。
如果投资风险大,却没有相应提高报酬,谁愿意去投资呢?但这种收益率只能是投资者所要求的,不可能投资项目风险越高,报酬就一定越高。只是投资者投资于风险项目,要求收益率高于无风险报酬而已。
3、会计师的书又说期望收益率=无风险利率+风险收益率
这和2的理解基本一致,投资者投资于风险项目时,对风险有一个期望收益。
预期收益率是投资者对投资项目进行预期,认为可能会有的报酬率。
投资者要求的报酬率是投资者投资于投资项目,对项目的报酬率有一定的要求,此时要求的报酬率
4、期望收益率和预期收益率的区别连系?
注册会计师的书又说期望收益率=无风险利率+风险收益率
这和2的理解基本一致,投资者投资于风险项目时,对风险有一个期望收益。
预期收益率是投资者对投资项目进行预期,认为可能会有的报酬率。
投资者要求的报酬率是投资者投资于投资项目,对项目的报酬率有一定的要求,此时要求的报酬率。
如:你投资一股票,预期该股票股价要跌,预期收益率为负。而你对你的资金要求能从投资中获取投资收益率至少为3%,所以,你不可能投资该股票。
本例中,预期收益率是该项目本身预期会有的收益率,为负数;而投资者要求的报酬率为3%
5、请老师简要分析一下期望报酬率、必要报酬率、内含报酬率的异同和用途,谢谢?
期望报酬率与内含报酬率是一回事,是预计投资可以获得的实际收益率,是未来现金流入的现值等于现金流出现值的折现率。用于反映预计收益水平。
必要报酬率是投资人进行投资要求获得的收益率,通常用于计算被投资资产的价值或投资净现值。如果被投资资产的价值大于价格或净现值大于0,则投资可行。
如果期望报酬率或内含报酬率大于必要报酬率,则投资可行。
-
- 富贵病是什么意思 百度知道?外国病,花钱病,富贵病是什么意思
-
2026-04-01 08:08:08
-
- 继杂书馆与晓书馆之后,高晓松的晓岛为文青们又开辟了一方天地
-
2026-04-01 08:06:04
-
- 硅胶娃娃也共享?上海“成人体验馆”生意火爆,对未成年人来者不拒
-
2026-04-01 08:03:59
-
- 西凤岁月美酒52,西凤岁月美酒52度价格
-
2026-04-01 08:01:55
-
- 八珍丸 气血不足,八珍丸没用?4种情况要分清,教你正确补养气血
-
2026-04-01 07:59:51
-
- 金星现代舞,金星现代舞一跳20年腿比嘴更厉害
-
2026-03-31 16:10:15
-
- “生命的账单”,不仅十分有趣还可能令人有所感悟,有所警醒
-
2026-03-31 16:08:11
-
- 细节决定成败-约会技巧篇
-
2026-03-31 16:06:06
-
- 简单直接的表白100字
-
2026-03-31 16:04:02
-
- 在家办公三天,丈夫从“凤凰男”变成“家暴男”,让妻子心如刀割
-
2026-03-31 16:01:57
-
- 灵性觉醒后样貌的改变 是时候迎接自己灵性觉醒的蜕变
-
2026-03-31 15:59:53
-
- 春天这几件衣服火了,牛仔外套、衬衫和牛仔裤,上身后个性又洋气
-
2026-03-31 15:57:48
-
- 山东画室风波曝光,1分52秒不雅视频流出引热议:上瘾性行为害谁
-
2026-03-30 07:47:48
-
- 倪妮体重多少斤(170CM体重不下百)
-
2026-03-30 07:45:43
-
- 既然选择了你(既然选择了你就陪你走到底)
-
2026-03-30 07:43:39
-
- 喝红豆薏米粥祛湿的人,这4个错误你一定犯过
-
2026-03-30 07:41:35
-
- 跳水王宗源,爱吃山药炖排骨--跳水后浪王宗源跳进奥运。。。
-
2026-03-30 07:39:30
-
- “你很好,但我妈不让我娶你”:主动了却爱而不得,就趁早放弃吧
-
2026-03-30 07:37:26
-
- 渣男不会告诉你:让女神为你死心塌地的“极速升温三步法”
-
2026-03-30 07:35:22
-
- 你喜欢的白富美是不是甫田系?
-
2026-03-30 07:33:17



熬鹰成功后鹰还会跑,熬鹰成功后鹰还会跑吗
杰哥不要是什么梗?